网站导航
手机预览

方式一直接手机输入网址

方式二扫描二维码

微信
微博

2021浙江丽水市市级机关面向全市遴选(选调)优秀公务员面试人员名单等相关事项通知

您现在的位置: 首页 > 浙江 > 考试信息 > 考试通知 >

2021浙江丽水市市级机关面向全市遴选(选调)优秀公务员面试人员名单等相关事项通知

【导语】2021浙江丽水市市级机关面向全市遴选(选调)优秀公务员面试人员名单等相关事项通知 已发布。由于遴选招考信息非常繁多,中公遴选考试网每天更新浙江公务员遴选浙江遴选考试公告浙江遴选报考条件等考试信息,便于考生查阅。

根据《2021年丽水市市级机关面向全市公开遴选(选调)优秀公务员公告》规定,为确保面试等工作顺利开展,现将有关事项通知如下:

一、笔试合格分数线

经研究,笔试合格分数线划定为60分。

二、资格复审

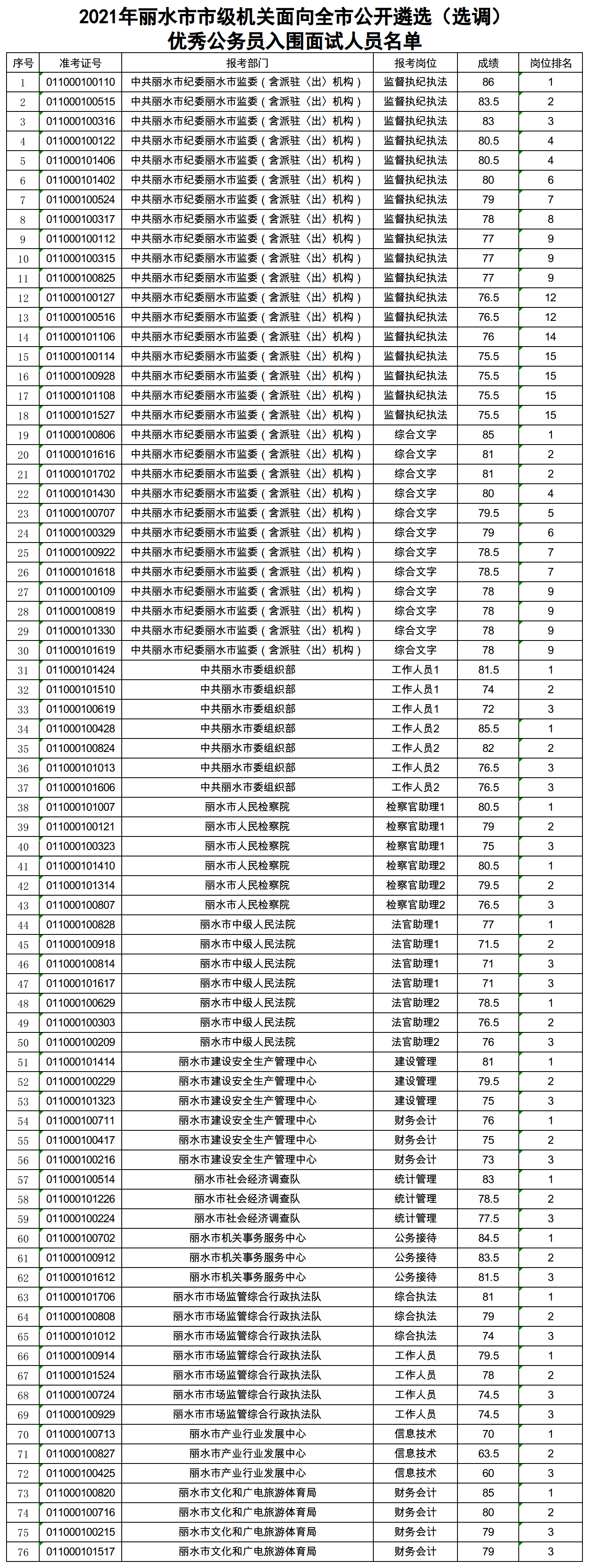
入围面试人员(具体名单详见附件1)的资格复审由遴选(选调)单位自行组织,具体时间、地点另行通知。资格复审合格者发放面试通知书。

三、其他事项

1.请所有入围面试人员保持通讯工具畅通,如放弃资格复审的,请于资格复审前以书面形式向丽水市委组织部公务员处确认。

2.确有特殊原因无法参加资格复审的,可委托他人提交资格复审相关材料(详见公告)和代领面试通知书,被委托者需提供委托人亲笔签名的书面委托书(格式详见附件2),并出示委托人、被委托人身份证原件和复印件。

3.面试具体时间、地点详见面试通知书。

4.考生笔试成绩可登录丽水市人事考试院网站查询。

咨询电话:0578-2098773。

点击下载>>>

1:2021年丽水市市级机关面向全市公开遴选(选调)优秀公务员入围面试人员名单.png

2:委托书.doc

丽水市公务员局

2021年10月8日

原标题:关于公布2021年丽水市市级机关面向全市公开遴选(选调)优秀公务员入围面试人员名单等相关事项的通知

文章来源:http://www.lsxfw.cn/2020/news_show.php?id=7463

THE END  

声明:本站点发布的来源标注为“中公教育”的文章,版权均属中公教育所有,未经允许不得转载。

加入中公遴选备考群,关注公众号:中公公务员遴选考试公众号:中公公务员遴选考试,获取更多考试信息。

更多考试信息请点击查看:浙江遴选考试公告公务员遴选报考指导中央遴选考试公告等。

访问手机版:https://m.zglinxuan.com/zj/ksxx/kszc/81660.html

{{msg_type_name}}